VT300内藏孔板-带温压补偿 西安孔板生产厂家
内藏孔板测量原理:
是当充满管道的流体,当它们流经管道内的流量孔板时,流速将在流量孔板的节流处形成局部收缩,从而使流速加快,静压力降低,
于是在标准孔板前后便产生了压力降或叫压差,介质流动的流量愈大,在流量孔板前后产生的压差也就愈大,所以可通过测量压差来测量流体流量的大小。
这种测量方法是以流动连续性方程(质量守恒定律)和伯努利方程式(能量守恒定律)的原理为基础的。
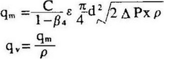
在已知有关参数的条件下,根据流动连续性原理和伯努利方程可以推导出差压与流量之间的关系而求得流量。其基本公式如下:
c-流出系数 无量纲
d-工作条件下节流件的节流孔或喉部直径
D-工作条件下上游管道内径
qm-质量流量 Kg/s
qv-体积流量 m3/s
?-直径比d/D 无量纲
流体的密度Kg/m3
可膨胀性系数 无量纲
VT300内藏孔板可测量的介质如下:
1、液体:热水、冷水、化工液、轻体质油。
2、气体:高炉煤气、焦炉煤气、各种单组分多组分气体。
3、过热蒸汽、饱和蒸汽。
4、压缩空气。
5、天,然气,火炬气,液化气。
VT300内藏孔板的技术指标:
1、公称通径:小于1.5in(40mm)
1/2-in. (15 mm)
3/4-in. (20 mm)
1-in. (25 mm)
1 1/2-in. (40 mm);
2、精度:±1%FS ;
3、量程比:标准1∶13;扩展1∶20、1∶30、1∶40;
4、工作压力:≤42.0MPa;
5、介质温度:-40℃-450℃;
6、介质粘度:≤30CP(相当于重油) ;
7、β值:0.2-0.75;
8、连接方式:法兰或夹装式;
9、取压方式:环室取压和法兰取压;
10、材质:主体、孔板、取压管、三阀组、全不锈钢直管段及连接法兰,碳钢或不锈钢;
11、输出信号:4-20mA;
12、供电电源:24VDC;
VT300内藏孔板性能特点
内藏式一体化设计,应用于监控测量场合
应用于管道尺寸小于1.5”,测量液体、气体及蒸汽测量
通过自带的前后直管段,精度及可重复性保证
高度一体化的取压法兰及内藏式孔板元件,方便直接安装,更少泄漏点
通过使用一体化三阀组,可直接与Rosemount,EJA,ABB等品
牌的差压流量计相连
温度及压力补偿可选
材质严格保证,304SST,316SST, HC-276, Monel合金等材质可选
VT300内藏孔板安装注意事项:
1、可水平、垂直或倾斜安装,应保证管内充满液体;
2、节流装置前,后直管段应是直的,无肉眼可见弯曲,同时应是“圆的",内壁应洁净,无凹坑与沉淀物;
3、直管段长度要求及节流装置安装应符合GB/T26224—93有关规定;
4、引压管路安装应符合标准规定的规范。
VT300内藏孔板流量计的调试:
1、接上信号线、电源线
2、开启进口、出口阀门,进出口阀门开度要一致
3、打开不锈钢三阀组平衡阀,缓慢开启孔板高低压端的阀门,待流体通过流量计后关闭不锈钢三阀组平衡阀即可。
























冀公网安备13010402003046号