最低温-60℃,15L/min
产品细节:

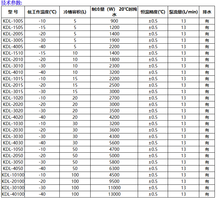
产品说明:
KDL系列低温冷却循环泵采用风冷式全封闭压缩机组制冷及微机智能控制系统,低温冷却液循环泵提供低温循环冷却水(液)流或低温恒温水(液)流,
以满足用冷却水及低温液体去降温或恒温仪器,如旋转蒸发器、发酵罐、电子显微镜、低温化学反应釜、电子能谱仪、质谱仪、密度仪、冷冻干燥
机、真空镀膜仪、反应釜等。也可把多种容积直接在槽内低温恒温实验。
主要特征:
♦ 内置新一代温度控制程序,确保设备运行稳定。
♦ 风冷式全封闭压缩机制冷,微机控制制冷系统自动开启,制冷系统具有延时、过热、过电流等多重保护装置。
♦ 循环泵可将槽内冷液输出,冷却或恒温机外实验容器或建立第二恒温场。
♦ 微机设有定时关机功能,开启此功能后可在0~100小时内任意设置定时关机时间。
♦ 采用双窗口,红、绿两种颜色LED显示温度设定值和温度测量值,数显分辨率0.1℃,微机可修正温度测量值偏差,使数显精度达0.1℃。
♦ 具有微机软件锁功能,可锁定系统各参数设定值,无关人员不能更改已设定参数。
♦ 以上所有操作均在微机智能控制仪上按动触摸软键完成,操作简单。
♦ 产品使用方便,可连续工作。































冀公网安备13010402003046号